聯系熱線
美國2B 106-L臭氧檢測儀使用中檢測臭氧為負數 問:106-L臭氧檢測儀用了半年,很近檢測數據顯為負數,這是什么原因呢? 答:原因可能為: 1、內部進了污染物致讀取出現錯誤 2、校零催化劑

為什么美國2B 106-L臭氧檢測儀電腦中無法讀取數據呢 可能你會遇到美國2B臭氧檢測儀連接電腦,數據不能同步,這是怎么回事呢? 如果你已經安裝了機器附帶的驅動,安裝后,打開軟件

Aeroqual臭氧傳感器 GSS 與 GSE區別 GSS: 我們的氣敏半導體傳感器使用專有傳感材料、內置自動基線校正和干擾抑制。這種組合導致 ppb 分辨率和高度線性的響應。 GSE: 我們的氣敏電化學

Thermo Scientific 49i 型臭氧分析儀 技術參數 測量的氣體:臭氧 自定義范圍:0 至 0.05 至 200 ppm,0 至 0.1 至 400 mg/m3 描述:49i 型臭氧分析儀 流速:1 至 3 L/min。 高度...

國標:GB/T 37397-2019 臭氧校準分析儀下載 本標準按照GB/T1.1-2009給出的規則起草。 本標準由中國機械工業聯合會提出。 本標準由全國工業過程測量控制和自動化標準化技術委員會(SAC/T

臭氧標準參考光度計的性能核查方法 C.1運行軟件程序 啟動Scaler Test程序。 C.2臭氧標準參考光度計的壓力測試 C.2.1零點調試 調節臭氧標準參考光度計電子模塊的壓力鍵至校準(CAL),穩


臭氧監測一級校準質量保證與質量控制 接上一篇文章: 臭氧校準結果計算與評價 7復校時間間隔 臭氧監測一級校準復校時間間隔一般不超過一年。 臭氧傳遞標準在證書有效期內,若出

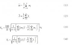
臭氧校準結果計算與評價 接上一篇: 臭氧監測一級校準方法(HJ1096-2020) 6結果計算與評價 6.1校準曲線的繪制 以臭氧標準參考光度計的測定值為橫坐標,臭氧傳遞標準的響應值為縱坐
